一、设计资料
河南省某加工厂一厂房,该厂房为单层,采用单跨双坡门式刚架,刚架跨度18m,柱高6m;共有12榀刚架,柱距6m,屋面坡度1:10;地震设防列度为6度,设计地震分组为第一组,设计基本地震加速度值0.05g。刚架平面布置见图1(a),刚架形式及几何尺寸见图1(b)。屋面及墙面板均为聚氨酯复合保温板;考虑经济、制造和安装方便,檩条和墙梁均采用冷弯薄壁卷边C型钢,间距为1.5m,钢材采用Q235钢,焊条采用E43型。
1.屋盖永久荷载标准值(对水平投影面)
YX51-380-760型彩色压型钢板0.15 KN/m2
50mm厚保温玻璃棉板0.05 KN/m2
PVC铝箔及不锈钢丝网0.02 KN/m2
檩条及支撑0.10 KN/m2
刚架斜梁自重0.15 KN/m2
悬挂设备0.20 KN/m2
合计0.67 KN/m2
2.屋面可变荷载标准值
屋面活荷载:按不上人屋面考虑,取为0.50 KN/m2。
雪荷载:基本雪压S0=0.45 KN/m2。对于单跨双坡屋面,屋面坡角
α=5°42′38″,μr=1.0,雪荷载标准值Sk=μrS0=0.45 KN/m2。
取屋面活荷载与雪荷载中的较大值0.50 KN/m2,不考虑积灰荷载。
3.轻质墙面及柱自重标准值(包括柱、墙骨架等)0.50 KN/m2
4.风荷载标准值
按《门式刚架轻型房屋钢结构技术规程》CECS102:2002附录A的规定计算。
基本风压ω0=1.05×0.45 KN/m2,地面粗糙度类别为B类;风荷载高度变化系数按《建筑结构荷载规范》(GB50009-2001)的规定采用,当高度小于10m时,按10m高度处的数值采用,μz=1.0。风荷载体型系数μs:迎风面柱及屋面分别为+0.25和-1.0,背风面柱及屋面分别为+0.55和-0.65(CECS102:2002中间区)。
5.地震作用
据《全国民用建筑工程设计技术措施—结构》中第18.8.1条建议:单层门式刚架轻型房屋钢结构一般在抗震设防烈度小于等于7度的地区可不进行抗震计算。故本工程结构设计不考虑地震作用。
屋面:
恒荷载标准值:0.67×6=4.02KN/m
活荷载标准值:0.50×6=3.00KN/m
柱荷载:
恒荷载标准值:0.5×6×6+4.02×9=54.18KN
活荷载标准值:3.00×9=27.00KN
风荷载标准值:
迎风面:柱上qw1=0.47×6×0.25=0.71KN/m
横梁上qw2=-0.47×6×1.0=-2.82KN/m
背风面:柱上qw3=-0.47×6×0.55=-1.55KN/m
横梁上qw4=-0.47×6×0.65=-1.83KN/m
考虑本工程刚架跨度较小、厂房高度较低、荷载情况及刚架加工制造方便,刚架采用等截面,梁柱选用相同截面。柱脚按铰接支承设计。采用弹性分析方法确定刚架内力。引用《钢结构设计与计算》(包头钢铁设计研究院编著,机械工业出版社)中表2-29(铰接柱脚门式刚架计算公式)计算刚架内力。
λ=l/h=18/6=3
ψ=f/h=0.9/6=0.15
k=h/s=6/9.0449=0.6634
μ=3+k+ψ(3+ψ)=3+0.6634+0.15×(3+0.15)=4.1359
HA=HE=qlλΦ/8=4.02×18×3×0.5289/8=14.35KN
MC=ql2[1-(1+ψ) Φ]/8=4.02x182[1-(1+0.15)×0.5289]=63.78KN·m
MB=MD=-ql2Φ/8=-4.02×182×0.5289/8=-86.11KN·m
刚架在恒荷载作用下的内力如图。
内力计算的“+、-”号规定:弯矩图以刚架外侧受拉为正,在弯矩图中画在受拉侧;轴力以杆件受压为正,剪力以绕杆端顺时针方向旋转为正。
VA=VE=27.00KN
HA=HE=3.00×18×3×0.5289/8=10.71KN
MC=3.00×182[1-(1+0.15)×0.5289]/8=47.60KN·m
MB=MD=-3.00×182×0.5289/8=-64.26KN·m
刚架在活荷载作用下的内力如图。
对于作用于屋面的风荷载可分解为水平方向的分力qx和竖向的分力qy。现分别计算,然后再叠加。
(1)在迎风面横梁上风荷载竖向分力qw2y作用下
VA=2.82×9-6.35=19.03KN
HA=HE=qlλΦ/4=2.82×18×3×0.1322/4=5.03KN
MB=MD=5.03×6=30.18KN·m
MC= ql2[α2-(1+ψ) Φ]/4=2.82×182×[0.52-1.15×0.1322]/4=22.38KN·m
刚架在qw2y作用下的内力如图

(2)在背风面横梁上风荷载竖向分力qw4y作用下
VA=1.83×9-4.12=12.35KN
HA=HE=qlλΦ/4=1.83×18×3×0.1322/4=3.27KN
MB=MD=3.27×6=19.62KN·m
MC= ql2[α2-(1+ψ) Φ]/4=1.83×182×[0.52-1.15×0.1322]/4=14.52KN·m
刚架在qw4y作用下的内力如图。

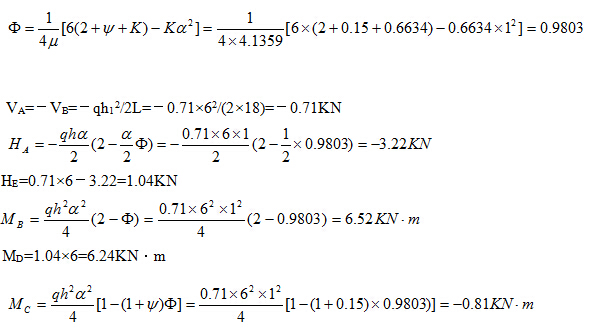
(3)在迎风面柱上风荷载qw1作用下
α=1,
VA=-VB=-qh12/2L=-0.71×62/(2×18)=-0.71KN
刚架在qw1作用下的内力如图。

(4)在背风面柱上风荷载qw3作用下
VA=-VB=-qh12/2L=-1.55×62/(2×18)=-1.55KN
HA=1.55×6-7.02=2.28KN
MD=7.02×6-1.55×62/2=14.22KN·m
MB=2.28×6=13.68KN·m
刚架在qw3作用下的内力如图。
(5) 在迎风面横梁上风荷载水平分力qw2x作用下
α=1,β=0
刚架在qw2x作用下的内力如图。

(6) 在背风面横梁上风荷载水平分力qw4x作用下
刚架在qw4x作用下的内力如图。
(7)用叠加绘制在风荷载作用下刚架的组合内力。